Glossary of Aviation Terms | Mach Number
Mach Number | Paramount Business Jets
A Mach number is the speed of an object moving through the air divided by the speed of sound in those current conditions. The speed of sound is directly related to temperature and density, so it is constantly varying. The accepted speed of sound at sea level and standard atmospheric conditions (ISA) is 661.2 knots, or 761.4 mph. If an aircraft were moving at the speed of Mach 1 at sea level on a standard atmospheric day, then it would be flying at 661.2 knots. Mach speed is represented by the equation:

where:
- M = is the Mach number,
- Vs = is the velocity of the source (the object relative to the medium),
- u = is the velocity of sound in the medium.
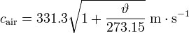
However, before you can calculate your Mach number, you have to know the speed of sound in the medium you are traveling in. In this case, you would need to know the speed of sound through the air you are currently traveling through. You would find this with the help of the equation:

where:

There are five different classifications of Mach number with reference to speed. They are:
- Subsonic: Less than Mach 1,
- Sonic: Mach 1,
- Transonic: Mach 0.8 – Mach 1.2,
- Supersonic: Mach 1.2 – Mach 5,
- Hypersonic: Greater than Mach 5.

Most airliners currently travel at anywhere from Mach 0.6 to Mach 0.9. Military jets, of course, can travel, in some cases, at hypersonic speeds. When you do travel faster than Mach 1, you break the sound barrier and the air around the plane starts to form shock waves. A shock wave is an abrupt pressure difference caused by the compression of air by the aircraft while moving forward. The shock wave creates a sonic boom, and that is the sound you hear following an aircraft moving at sonic speeds. Depending on the type of aircraft and/or airfoil design, certain kinds of shock waves can be hazardous and/or beneficial to the aircraft, so the speed at which the plane can travel becomes limited.
Explore More Aviation Terminology
- Radio | Paramount Business Jets
- Private Airport | Paramount Business Jets
- Instrument Meteorological Conditions | Paramount Business Jets
- Alternate Airport | Paramount Business Jets
- Certificate | Paramount Business Jets
- Flight Time | Paramount Business Jets
- Carbon Offset | Paramount Business Jets
- Catering | Paramount Business Jets
- Class D Airspace | Paramount Business Jets
